Türkiye Ziraat Odaları Birliği (TZOB), 20 yıldır yürütülen aylık üretici ve market fiyat çalışmasına dair yazılı açıklama yaptı. Buna göre Kasım ayında markette 42 ürünün 24'ünde fiyat düşüşü oldu.
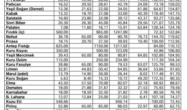
TZOB, bazı ürünlerin ve gıdaların aylık fiyat değişikliklerini kamuoyuyla paylaştı. Bu kapsamda Türkiye genelinde 5 bölgede Ziraat Odaları ile fiyat alınarak takip edildi. TZOB'un aylık fiyat açıklamasında marketteki 42 ürünün 24'ünde fiyat düşüşü gözlemlendi. Kasım ayında üretici ve market arasındaki fiyat farkı en fazla yüzde 392,86 ile mandalinada görüldüğü gözlemlenirken, mandalinadaki fiyat farkını yüzde 206,87 ile portakal, yüzde 203,80 ile ıspanak, yüzde 191,39 ile maydanoz ve yüzde 189,17 ile havuç takip etti.
"Veriler masa başında değil, sahada ve belgeli olarak tespit edilmektedir"
Veriler kapsamında yazılı bir açıklama yayımlayan TZOB, marketlerdeki fiyat artışının ve düşüşünün ortalama fiyat seviyesini temsil etmediğini belirterek, "TZOB olarak bazı önemli ürün ve gıdalardaki aylık fiyat değişiklikleri ve spekülatif hareketler konusunda kamuoyunu bilgilendirmek üzere yaklaşık 20 yıldır her ay gerçekleştirdiğimiz çalışmalarda Türkiye genelinde beş bölgeden Ziraat Odalarımız kanalı ile fiyatlar alınarak yakından takip edilmektedir. TZOB'un aylık fiyat açıklamasındaki temel amaç üreticilerimizin emeğinin karşılığını alıp almadığını ortaya koymak, tüketicinin neden yüksek fiyatlarla karşılaştığını açıklamak ve spekülatif fiyat oluşumlarının önüne geçilmesine katkıda bulunmaktır. Kamuoyunda zaman zaman tek bir markette görülen kampanya fiyatlarının ülke genelini yansıttığı yönünde değerlendirmeler yapılabilmektedir. Oysa bazı marketlerde düşük kalibreli, standart dışı veya kampanya amaçlı ürünlerin daha düşük fiyatla satılması olağan bir durumdur. Bu tür tekil örnekler, ortalama fiyat seviyesini temsil etmez. TZOB'un paylaştığı rakamlar ise tüm bölgelerdeki farklı satış kanallarından alınan fiyatların ortalamasına dayanmaktadır ve sahadaki gerçek tabloyu yansıtmaktadır. Rekolte, paketleme-ambalajlama, depolama ve işçilik maliyetleri, nakliye giderleri, ihracat akışı, aracı karları, fire gibi zincirin tüm aşamaları fiyat oluşumunu etkilemektedir. Dolayısıyla üretici market fiyat makasının varlığı inkar edilemez bir gerçektir. Önemli olan bu farkın nedenlerini doğru değerlendirmektir. Bu makasın fazla açıldığı durumlarda spekülatif faaliyetleri göstererek ilgili kurumların harekete geçmesini sağlamaktır" ifadelerine yer verdi.
Kasım ayı üretici market fiyatları
Kasım ayında üretici ve market arasındaki fiyat farkı en fazla yüzde 392,86 ile mandalinada görüldüğü belirtilirken, mandalinadaki fiyat farkını yüzde 206,87 ile portakal, yüzde 203,80 ile ıspanak, yüzde 191,39 ile maydanoz ve yüzde 189,17 ile havuç takip etti. Mandalina 4,9 kat, portakal 3,1 kat, ıspanak 3 kat, maydanoz, havuç ve kuru incir 2,9 kat fazlaya satıldı. Üreticide 6 lira 20 kuruş olan mandalina 30 lira 56 kuruşa, 16 lira 80 kuruş olan portakal 51 lira 55 kuruşa, 17 lira 53 kuruş olan ıspanak 53 lira 27 kuruşa, 5 lira 9 kuruş olan maydanoz 14 lira 82 kuruşa, 11 lira olan havuç 31 lira 81 kuruşa markette satıldı. Kasım ayında fiyatı en fazla artan ürün markette pırasa, üreticide ise patates olurken, fiyatı en fazla düşen ürün markette marul, üreticide portakal olduğu açıklandı.
Market fiyatları
Kasım ayında markette 42 ürünün 18'inde fiyat artışı, 24'ünde fiyat düşüşü olduğu açıklandı. Markette fiyatı en fazla artan ürün yüzde 149,5 ile pırasa olduğunun altı çizilirken, pırasadaki fiyat artışını yüzde 118,3 ile ıspanak, yüzde 71,7 ile fındık, yüzde 58,5 ile antep fıstığı takip etti. Markette fiyatı en fazla azalan ürün ise yüzde 55 ile marul oldu. Maruldaki fiyat düşüşünü yüzde 46,6 ile portakal, yüzde 43,3 ile kuru soğan izledi.
Üretici fiyatları
Kasım ayında üreticide 34 ürünün 10'nunda fiyat artışı olurken 18'inde fiyat düşüşü görüldü. 6 üründe ise fiyat değişimi olmadığı aktarıldı. Üreticide en çok fiyat düşüşü yüzde 43,1 ile portakalda görüldü. Portakaldaki fiyat düşüşünü yüzde 38 ile mandalina, yüzde 36,5 ile karnabahar, yüzde 30,8 ile kabak izledi. Üreticide en çok fiyat artışı yüzde 34,9 ile patateste görüldü. Patatesteki fiyat artışını yüzde 34,6 ile salatalık, yüzde 17,2 ile pırasa ve 15,8 ile kuru incir izledi.
Üretici fiyat değişiminin nedenleri
Açıklamaya göre kasım ayında Adana'da tarım işçilerini organize eden elçi gruplarının, ücret artışı talebiyle 10 gün süreyle greve gitmesi, erkenci mandalina hasadının aksamasına yol açtı. Hasadın gecikmesi nedeniyle erkenci çeşit mandalinalar dalında kalarak raf ömrünü kaybettiği belirtildi. Diğer yandan, Rusya'nın bu sezon Türkiye yerine alternatif ülkelere yönelmesi, ihracatta daralmaya ve iç piyasada ürün fazlası oluşmasına neden olduğu ifade edildi. Mandalinadaki bu sert fiyat düşüşün, tüketici talebinin yön değiştirmesi nedeniyle portakal fiyatlarını da aşağı çektiği belirtilirken, karnabahar ve kabakta yaşanan arz fazlalığı ve ürüne olan talebin düşmesi fiyatların gerilemesine sebep olduğu ifade edildi.
Aylık ve yıllık girdi fiyatları
Ziraat Odaları aracılığıyla girdi piyasalarından alınan fiyat verilerine göre; Kasım ayında, Ekim ayına göre amonyum nitrat gübresi yüzde 5,6, amonyum sülfat gübresi yüzde 4,2, üre gübresi yüzde 2,5, 20.20.0 kompoze gübresi yüzde 2,1 ve DAP gübresi yüzde 0,3 oranında arttı. Geçen yılın Kasım ayına göre son bir yılda üre gübresi yüzde 65,5, 20.20.0 kompoze gübresi yüzde 47,5, amonyum nitrat gübresi yüzde 45,5, DAP gübresi 45,1 ve amonyum sülfat gübresi yüzde 29,5 oranında arttı. Kasım ayında Ekim ayına göre süt yemi yüzde 1, besi yemi yüzde 0,7, son bir yılda süt yemi yüzde 28, besi yemi ise yüzde 29,8 oranında arttı. Tarım ilacı fiyatları yüzde 13,6 oranında artarken elektrik fiyatları yıllık olarak yüzde 12,8 oranında arttı. Mazot fiyatları aylık yüzde 2,9, yıllık bazda yüzde 29,9 oranında artış gözlemlendi.
Ekonomi
Yayınlanma: 01 Aralık 2025 - 10:11
Güncelleme: 01 Aralık 2025 - 10:50
Kasım ayında 24 market ürününde fiyat düşüşü gözlemlendi
Ekonomi
01 Aralık 2025 - 10:11
Güncelleme: 01 Aralık 2025 - 10:50
Türkiye Ziraat Odaları Birliği (TZOB), 20 yıldır yürütülen aylık üretici ve market fiyat çalışmasına dair yazılı açıklama yaptı. Buna göre Kasım ayında markette 42 ürünün 24'ünde fiyat düşüşü oldu.
EDİTÖR

Haberler İHA Haber Ajansı tarafından sağlanmaktadır.
İlginizi Çekebilir









