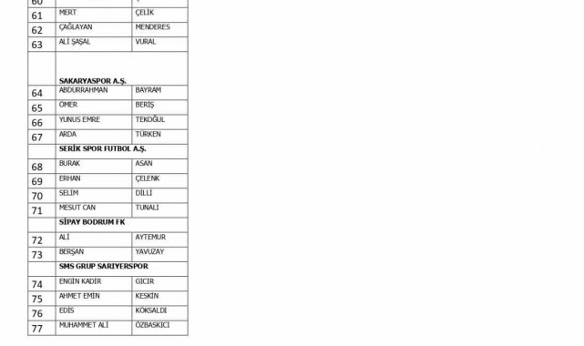
Türkiye Futbol Federasyonu, profesyonel liglere yönelik olarak yürütülen bahis soruşturması kapsamında bahis oynadığı tespit edilen 1024 futbolcuyu açıkladı ve bu isimleri Profesyonel Futbol Disiplin Kurulu'na (PFDK) sevk etti. TFF'den yapılan yazılı açıklamada, "Türkiye Futbol Federasyonu'nca profesyonel liglere yönelik olarak yürütülen bahis soruşturması kapsamında bahis oynadığı tespit edilen 1024 futbolcunun Futbol Disiplin Talimatı'nın 57. maddesi uyarınca 10.11.2025 tarihinden itibaren tedbirli olarak PFDK'ya sevk edilmesine karar verilmiştir. Türkiye Futbol Federasyonu'nca profesyonel liglere yönelik olarak yürütülen bahis soruşturması kapsamında bahis oynadığı tespit edilen 1024 futbolcunun Futbol Disiplin Talimatı'nın 57. maddesi uyarınca 10.11.2025 tarihinden itibaren tedbirli olarak PFDK'ya sevk edilmesine karar verilmiştir. 1024 futbolcunun tedbirli olarak PFDK'ya sevk edilmesi nedeniyle, kulüplerin kadro eksiklerini tamamlayabilmesi adına yalnızca ulusal düzeyde, 2025-2026 sezonu kış transfer dönemine ilave olarak 15 günlük transfer ve tescil periyodu tanınması için FIFA ile ivedilikle görüşmelere başlanılmıştır. TFF Yönetim Kurulu'nun 10.11.2025 tarihli kararı ile TFF 2. Lig ve TFF 3. Lig müsabaka fikstürlerinin 2 hafta kaydırılmasına karar verilmiştir. TFF Süper Lig ve TFF 1. Lig müsabakaları daha önce ilan edildiği şekilde oynanmaya devam edecektir. Sadece tek bir kere bahis hareketi olduğu görülen 47 futbolcunun disiplin sevk işlemleri, telafisi mümkün olmayan zararlara sebebiyet vermemek adına ilgili kurumlardan gelecek cevabi evraklar neticesinde elde edilecek yeni delil ve bilgiler çerçevesinde değerlendirilecektir. Türkiye Futbol Federasyonu tarafından resmi kurumlarla yapılan yazışmalar devam etmekte olup bu gelecek cevaplara göre soruşturma genişletilerek devam edecektir. Futbol Disiplin Talimatı'nın 57. maddesi uyarınca PFDK'ya sevk edilen 1024 futbolcu aşağıda yer almaktadır" denildi. Trendyol Süper Lig'den PFDK'ya sevk edilen futbolcular şöyle: Beşiktaş: Ersin Destanoğlu, Necip Uysal Alanyaspor: İzzet Çelik, Enes Keskin, Yusuf Özdemir, Bedirhan Özyurt Çaykur Rizespor: Efe Doğan, Furkan Orak Galatasaray: Metehan Baltacı, Evren Eren Elmalı Gaziantep FK: Muhammet Taha Güneş, Nazım Sangare Göztepe: İzzet Furkan Malak, Uğur Kaan Yıldız Antalyaspor: Kerem Kayaarası Eyüpspor: Mükremin Arda Türköz Kasımpaşa: Ege Albayrak, Ali Emre Yanar Fatih Karagümrük: Furkan Bekleviç, Kerem Yusuf Sirkeci Samsunspor: Celil Yüksel Trabzonspor: Boran Başkan, Salih Malkoçoğlu Konyaspor: Adil Demirbağ, Alassane Ndao Kayserispor: Berkan Aslan, Abdulsamet Burak
Spor
Yayınlanma: 10 Kasım 2025 - 19:21
Güncelleme: 11 Kasım 2025 - 00:23
TFF, bahis oynadığı tespit edilen 1024 futbolcuyu açıkladı
Spor
10 Kasım 2025 - 19:21
Güncelleme: 11 Kasım 2025 - 00:23
Türkiye Futbol Federasyonu, profesyonel liglere yönelik olarak yürütülen bahis soruşturması kapsamında bahis oynadığı tespit edilen 1024 futbolcuyu açıkladı ve bu isimleri Profesyonel Futbol Disiplin Kurulu'na (PFDK) sevk etti.
EDİTÖR

Haberler İHA Haber Ajansı tarafından sağlanmaktadır.
İlginizi Çekebilir









